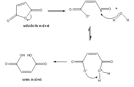
Pada percobaan mengenai keisomeran geometri ini dilakukan pengubahan asam maleat menjadi asam fumarat. Sebelum dilakukan pengubahan menjadi asam fumarat, terlebih dahulu dilakuakan pembuatan asam maleat yang menggunakan anhidrida maleat sebagai bahan utama. Anhidrida maleat ditambahkan pada aquadest yang telah dididihkan. Dalam hal ini aquadest berfungsi sebagai pelarut sehingga mempermudah terjadinya pembukaan ikatan pada senyawa siklik dari anhidrida maleat dan terbentuknya karbokation. Mekanisme reaksinya sebagai berikut:
Setelah dilakukan perhitungan, rendemen asam maleat yang diperoleh adalah sekitar 49%. Nilai rendemen tersebut dapat dikatakan sedang (mendekati setengahnya 50% dari 100%) dan hal ini menunjukkan bahwa tingkat efisiensi proses yang dilakukan tidak terlalu besar. Hal ini dapat dilihat dari kristal asam maleat yang terbentuk yaitu sekitar 1,74 gram.
Setelah dilakukan perhitungan, rendemen asam maleat yang diperoleh adalah sekitar 49%. Nilai rendemen tersebut dapat dikatakan sedang (mendekati setengahnya 50% dari 100%) dan hal ini menunjukkan bahwa tingkat efisiensi proses yang dilakukan tidak terlalu besar. Hal ini dapat dilihat dari kristal asam maleat yang terbentuk yaitu sekitar 1,74 gram.
Dengan %rendemen yang diperoleh sebesar 49%, hal ini dapat disebabkan: proses pemanasan yang kurang stabil dan atau proses pengkristalan yang kurang sempurna. bisa juga terjadi karena kristal tidak semua terkumpul dalam kertas saring, sehingga saat penimbangan, diperoleh massa kristal yang berbeda dengan massa awal yaitu 3 gram.
Berdasarkan literatur titik leleh asam maleat yaitu 138°C. tetapi dalam praktikum, kami tidak melakukan pengukuran titik leleh asam maleat, hal ini dikarenakan waktu praktikum yang kurang untuk melakukan pengukuran.
Pada proses sebelumnya sebagian asam maleat mengkristal dalam air, karena kelarutan asam maleat dalam air adalah sekitar 44,1 g/100 g air pada 25°C. Sebagian asam maleat lainnya larut dalam air, yang kemudian digunakan untuk mengubah menjadi asam fumarat. Mekanisme reaksi pengubahan asam maleat menjadi asam fumarat sebagai berikut:
Pada percobaan pengubahan asam maleat menjadi asam fumarat, larutan filtrat asam maleat dari proses sebelumnya ditambahkan HCl pekat dan direfluks perlahan-lahan. Dalam hal ini HCl pekat berfungsi sebagai katalis yang digunakan untuk memprotonasi salah satu gugus karbonil sehingga ikatan rangkap pada atom karbon dapat beresonansi dan terjadi rotasi pada ikatan tunggal, selanjutnya ikatan rangkap beresonansi kembali. Ion H+ dihasilkan lagi dari reaksi pada tahap keempat.
Pada percobaan pengubahan asam maleat menjadi asam fumarat, larutan filtrat asam maleat dari proses sebelumnya ditambahkan HCl pekat dan direfluks perlahan-lahan. Dalam hal ini HCl pekat berfungsi sebagai katalis yang digunakan untuk memprotonasi salah satu gugus karbonil sehingga ikatan rangkap pada atom karbon dapat beresonansi dan terjadi rotasi pada ikatan tunggal, selanjutnya ikatan rangkap beresonansi kembali. Ion H+ dihasilkan lagi dari reaksi pada tahap keempat.
Setelah dilakukan refluks mulai terbentuk endapan kristal asam fumarat dari larutan panas. Larutan didinginkan pada suhu kamar dan direkristalisasi dengan air. Pada tahap rekristalisasi digunakan air sebagai pelarut yang sesuai karena asam fumarat termasuk senyawa yang polar sehingga akan larut dalam pelarut yang polar pula (like dissolve like).
Setelah dilakukan perhitungan diperoleh rendemen asam fumarat sebesar 90%. Nilai rendemen ini menunjukkan tingkat efisiensi dari percobaan yang dilakukan. Dapat dikatakan bahwa tingkat efisiensi pembentukan asam fumarat lebih tinggi daripada tingkat efisiensi pembentukan asam maleat. Hal ini dapat dilihat dari banyaknya kristal asam fumarat yang terbentuk yaitu 1,81 gram. Hal ini juga dapat terjadi karena saat penyaringan kristal dengan kertas saring, kristal yang terkumpul hampir tidak ada yang tertempel di corong kimia, sehingga memiliki keakurasian yang tinggi, yaitu 90%.
Dari hasil pengukuran titik leleh diperoleh titik leleh asam fumarat yaitu 90°C. Berdasarkan literatur asam fumarat menyublim pada suhu 287°C. Dapat dikatakan bahwa kristal yang meleleh itu kemungkinan adalah pengotor-pengotornya seperti asam maleat sisa.
I. KESIMPULAN
Berdasarkan hasil percobaan dan perhitungan yang telah dilakukan maka dapat disimpulkan sebagai berikut:
%Rendemen Asam Maleat = 49%
Asam maleat(kristal): 1,74 gram
%Rendemen Asam Fumarat = 90%
Asam fumarat(kristal): 1,64 gram
II. DAFTAR PUSTAKA
Day, R.A, dan Underwood. 1987. Analisis Kimia Kualitatif. Erlangga: Jakarta
Keenan, Charles. W dkk. 1992. Kimia untuk Universitas jilid 2. Erlangga: Jakarta
Brandy, E. James. 1989. Kimia Universitas Asas dan Struktur. Binarupa Aksara: Jakarta
Fessenden and Fessenden. 1986. Kimia Organik jilid I. Erlangga: Jakarta
Heart, Harold. 2003. Kimia Organik Suatu Kuliah Singkat. Erlangga: Jakarta
Untuk File Lengkap Pembahasan dapat Di Unduh disini: http://www.4shared.com/file/nZ7EGMxv/Maleat_Fumarat_Jatna.html
Untuk File Lengkap Pembahasan dapat Di Unduh disini: http://www.4shared.com/file/nZ7EGMxv/Maleat_Fumarat_Jatna.html



izin copas teh :)
BalasHapusLebih simple pemilhan kata2 ny jd gampang d mengerti..trima ksh
BalasHapus